| 重庆宏艺翔春大棚第一届第一关热身赛图文报道
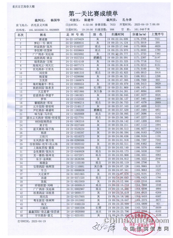
重庆宏艺翔春棚2025年第一届第一关热身赛在全国鸽友的大力支持和关怀下,重庆市信鸽协会、监赛单位及千里眼全程实时直播督下进行逐羽扫描装笼,于2025年4月18日15:23分开始集鸽,22:20分结束,共集鸽7633羽。整个操作流程规范严谨,上笼数据真实有效,有力的保证了第一关热身赛的公开.公平.公正。
集鸽前裁判长讲话、工作人员合影!

集鸽前电脑数据清零,随后开启扫描工作,集鸽工作有序进行




直至最后一羽赛鸽上笼后(环号:24-22-1868095)


随后裁判组进行了严格的查棚工作,工作人员仔细检查了鸽舍的每一个角落,做到查无遗漏,防止出现任何的作弊行为。


裁判组查看并展示铅封完好无损后给鸽车打上铅封







 

|