首页 · 鸽闻 · 公棚 · 协会 · 俱乐部 · 商城 · 论坛 · 鸽问 · 拍鸽 · 分类 · 鸽业 · 寻鸽 · 播客 · 鸽舍 · APP · 会员区
中国信鸽信息网
中信网
在线铭鸽展售
鸽具用品展售

唐山启航公棚>180-220公里资格赛更换电子环及羽色修改清单


2025-10-30 22:15:17 唐山启航国际赛鸽公棚   分享

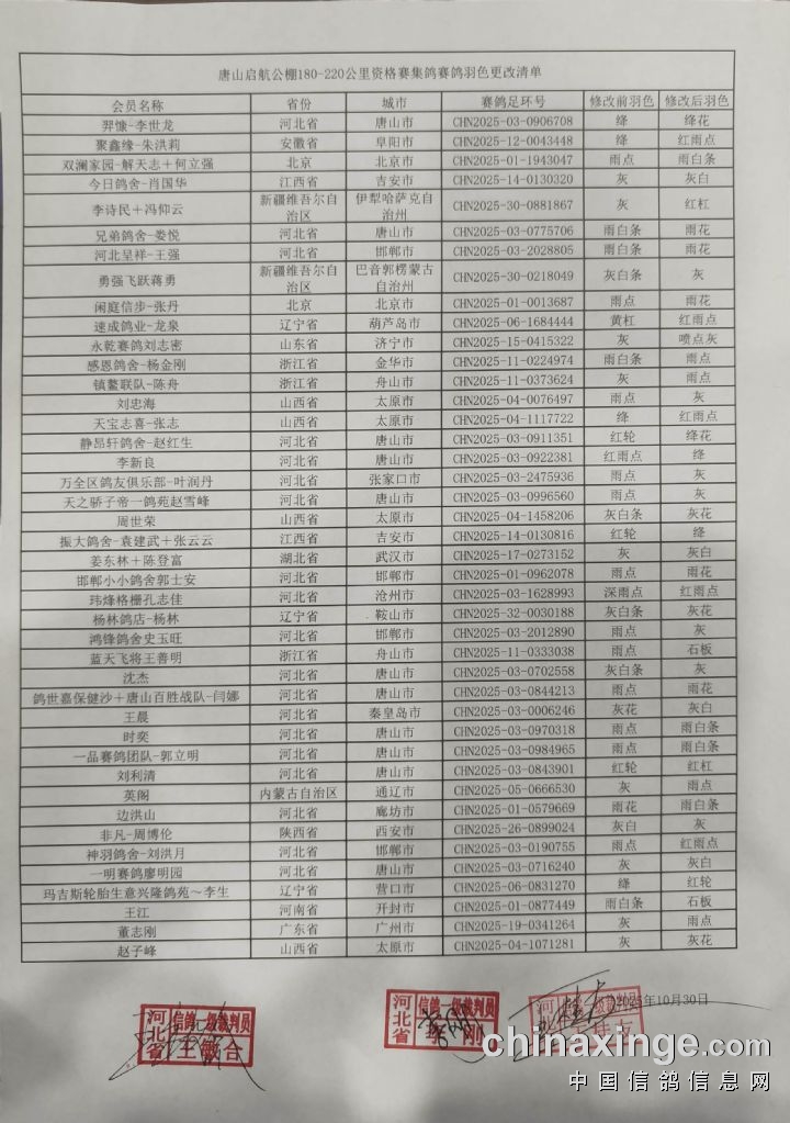
羽色更改清单


更换电子环清单



 

 发布时间:2025-10-30 22:15:17 刷新时间:2025-10-30 22:15:17 打印此页关闭窗口
 提示:如果此页面是训放清单,要想快速查询鸽环号,请按Ctrl+F然后输入您要查找的环号进行查找!
 近期信息:
  • 唐山启航公棚>180-220公里资格赛第一日归巢数据 (2025-11-1 8:43:48)
  • 唐山启航公棚>180-220公里资格赛小团体获奖鸽名单 (2025-10-31 11:30:19)
  • 唐山启航公棚>180-220公里资格赛特比环 、小团体奖金明细 (2025-10-31 11:30:58)
  • 唐山启航公棚>180-220公里资格赛前200名获奖鸽名单 (2025-10-31 11:13:48)
  • 唐山启航公棚>180-220公里资格赛开笼信息及直播链接 (2025-10-31 7:18:23)
  • 唐山启航公棚>精英赛、特比环未上笼名单 (2025-10-30 22:36:16)
  • 唐山启航公棚>180-220公里资格赛集鸽清单 (2025-10-30 20:52:49)
  • 唐山启航公棚>百公里撞伤鸽清单 (2025-10-29 19:01:35)
  • 唐山启航公棚>收费站缴费清单 (2025-10-29 17:22:19)
  • 唐山启航公棚>未缴费清单 (2025-10-29 17:21:32)

  • 手机中信网

     相关评论: 我要评论


    回页顶
    以上信息由公棚平台内企业自行发布提供,该企业负责信息内容的真实性、准确性和合法性,如有疑问请电话联系对应公棚咨询

    首页推广方式客服中心加盟中心合作平台意见建议网站导航APP下载

    Copyright © 2000-2025 www.ChinaXinge.com All Rights Reserved
    中国.深圳 电话: 0755-28156678、28156809 传真: 0755-28156678
    我要投稿 建议反馈及投诉
    《中华人民共和国增值电信业务经营许可证》ICP证编号:粤B2-20040374
    粤公网安备 44030902002110号