首页 · 鸽闻 · 公棚 · 协会 · 俱乐部 · 商城 · 论坛 · 鸽问 · 拍鸽 · 分类 · 鸽业 · 寻鸽 · 播客 · 鸽舍 · APP · 会员区
中国信鸽信息网
中信网
在线铭鸽展售
鸽具用品展售

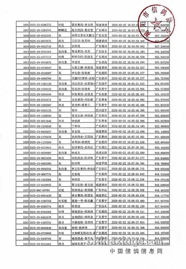
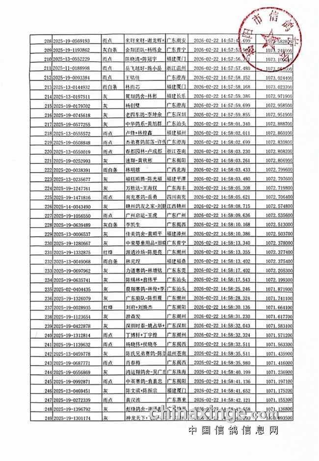
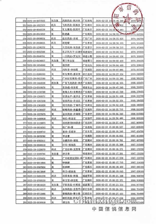
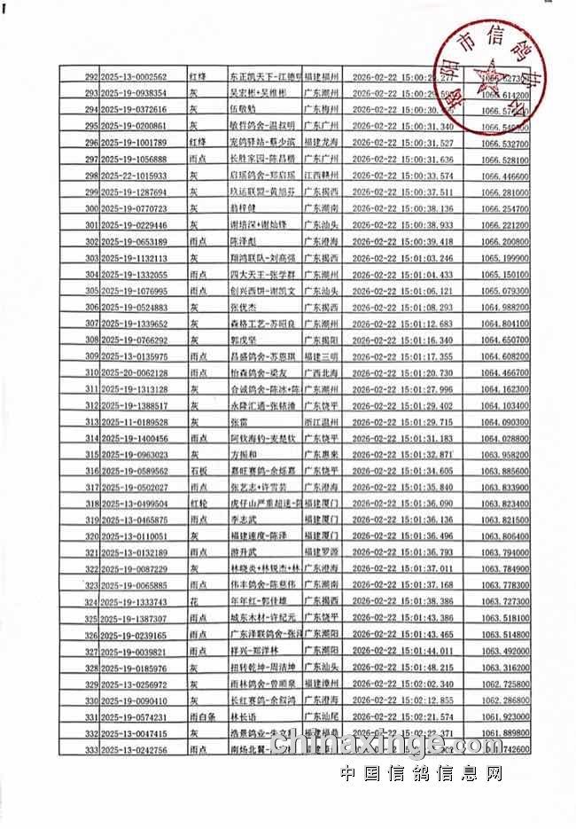
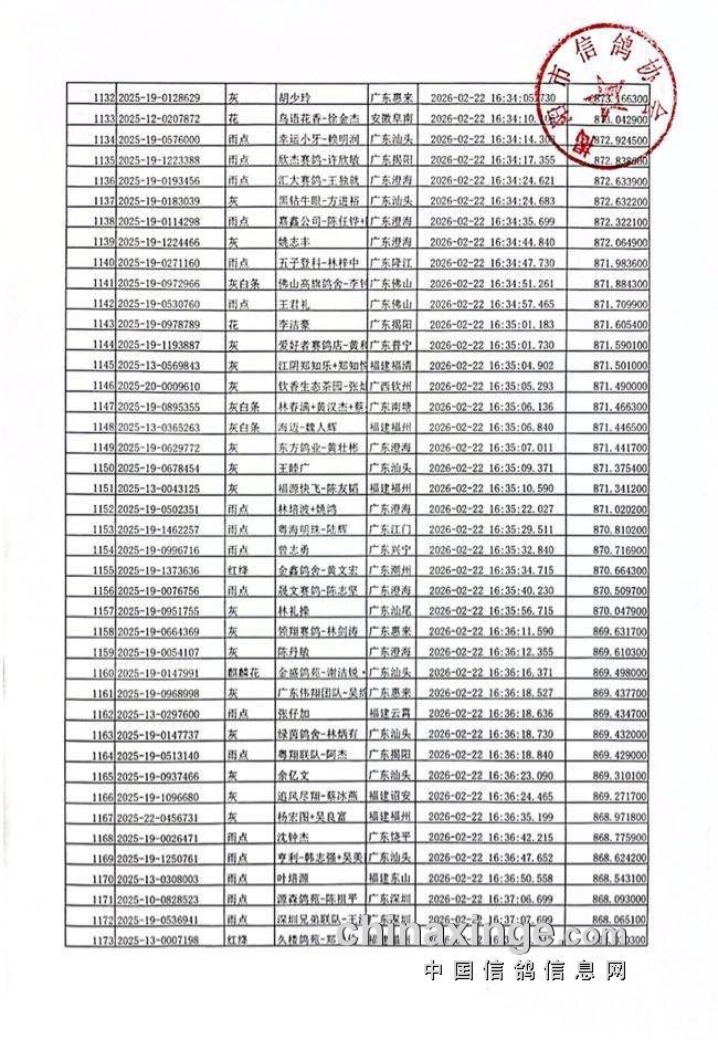
广东鸿栩赛鸽公棚2026年首届春季四关赛450-500公里第四关决赛比赛成绩单


2026-2-22 21:10:52 广东鸿栩赛鸽公棚   分享



























































 

 发布时间:2026-2-22 21:10:52 刷新时间:2026-2-22 21:10:52 打印此页关闭窗口
 提示:如果此页面是训放清单,要想快速查询鸽环号,请按Ctrl+F然后输入您要查找的环号进行查找!
 近期信息:
  • 广东鸿栩(春棚)2026年首届春季四关赛附加赛迟归鸽名单 (2026-3-16 17:49:15)
  • 广东鸿栩(春棚)2026年首届春赛颁奖典礼暨拍卖会公告 (2026-3-9 15:35:30)
  • 广东鸿栩(春棚)2026年首届春季四关赛附加赛二日归有效名单 (2026-3-8 19:20:06)
  • 广东鸿栩(春棚)2026年首届春赛附加赛单羽常规赛有效名单(开笼起至当天19:00分为有效报道期) (2026-3-7 20:01:15)
  • 广东鸿栩(春棚)2026年首届春季四关赛附加赛前120名获奖鸽名单 (2026-3-7 19:59:43)
  • 广东鸿栩(春棚)2026年首届春季四关赛500-580公里附加赛比赛成绩单 (2026-3-7 14:08:16)
  • 广东鸿栩(春棚)2026年首届春季四关赛500-580公里附加赛图集(归巢地) (2026-3-7 14:02:55)
  • 广东鸿栩(春棚)2026年首届春季四关赛500-580公里附加赛扫描直播链接 (2026-3-7 11:07:31)
  • 广东鸿栩(春棚)2026年首届春季四关赛500-580公里附加赛图集(开笼地) (2026-3-7 10:18:41)
  • 广东鸿栩(春棚)2026年首届春季四关赛500-580公里附加赛未上笼退常规赛清单 (2026-3-6 22:50:56)

  • 手机中信网

     相关评论: 我要评论


    回页顶
    以上信息由公棚平台内企业自行发布提供,该企业负责信息内容的真实性、准确性和合法性,如有疑问请电话联系对应公棚咨询

    首页推广方式客服中心加盟中心合作平台意见建议网站导航APP下载

    Copyright © 2000-2026 www.ChinaXinge.com All Rights Reserved
    中国.深圳 电话: 0755-28156678、28156809 传真: 0755-28156678
    我要投稿 建议反馈及投诉
    《中华人民共和国增值电信业务经营许可证》ICP证编号:粤B2-20040374
    粤公网安备 44030902002110号